发布时间:2025-11-11 浏览量:0
前言
INTRODUCTION
近期,流感高发,中国疾控中心的监测数据显示,不同于去年流行甲型H1N1为主,今年主要流行毒株为甲型H3N2。由于毒株的变异,人群对当前H3N2的免疫基础相对较弱,更易造成传播,因此值得引起广泛警惕。
每到流感季节,“免疫力”总会成为大家关注的焦点——而免疫系统的状态,其实远比“强或弱”的简单表述更为复杂。这就要提到“免疫衰老”(Immunosenescence)这一概念。它并非指免疫力单向、简单地下降,而是伴随年龄增长,免疫系统发生的一系列结构性改变与功能性重塑:新生免疫细胞逐渐减少,记忆性细胞不断积累,机体处于慢性、低度的炎症状态,整个免疫平衡也因此被悄然打破。近日,国际权威期刊 Immunity & Ageing 发表了一篇研究。

研究团队通过分析了不同年龄段健康人群的免疫细胞变化,首次建立了东亚人群的免疫细胞年龄参考图谱,进一步揭示了免疫衰老。
在前文提到研究中,团队招募了 363 名无慢病、无感染、无用药史的健康成年人,覆盖 21 至 87 岁,检测其外周血中免疫细胞的比例与亚型,包括T 细胞(CD4⁺、CD8⁺ 及 naïve/记忆亚群)、B 细胞、NK 细胞(自然杀伤细胞)、单核细胞、树突状细胞等。这些免疫细胞在体内的分工明确,并且相互协作,发挥机体免疫防御的能力。
(1)随年龄增长,CD8⁺ 新生 T 细胞比例显著下降,而老化T细胞则随年龄增长升高。
T 细胞谱系发生了显著重塑:CD8⁺ T 细胞数量明显下降,而 CD4⁺/CD8⁺ 比值上升;naïve T 细胞(负责识别新病原的“新兵”)数量锐减;记忆型与效应型 T 细胞逐渐积累,换句话说,老年人的免疫系统像一支经验丰富但缺乏新兵的部队——善于应对旧敌,却难以识别新病毒。
(2)其他免疫细胞同样发生了重塑。

各年龄段不同免疫细胞的比例变化,
揭示免疫系统随年龄的整体重塑趋势
被称为“免疫第一道防线”的NK 细胞,虽然表面看总体数量随年龄上升,尤其是成熟的 CD56^low 亚型,但研究指出,这种增长更可能是机体的“补偿性反应”,部分 NK 细胞功能反而下降,杀伤效率减弱。
而专门生成抗体,负责体液免疫的的B细胞,随着年龄增长,总 B 细胞比例也会下降,这意味着老年人的抗体库更新速度放慢,新病原出现时,身体反抗的速度也将变慢等。
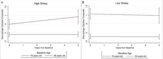
研究显示,即使在同一年龄段,不同个体的免疫细胞组成差异依然显著。有些 60 岁的受试者,其免疫细胞特征与 40 岁人群接近;而有些年纪尚轻的人,免疫系统却已经呈现出“提前老化”的迹象,长期的慢性炎症、反复感染、高压生活、睡眠不足以及环境污染,都可能让免疫细胞提前进入“耗竭期”,功能下降,更新受限。

压力较高可能进一步加速免疫系统的重塑
此外,研究人员还发现了一个现象——这种免疫衰老在不同性别之间差异也很明显。数据表明,女性 CD4⁺/CD8⁺ 比值更高、记忆 B 细胞更多,免疫反应更稳定;而男性 CD8⁺ CD28⁻ CD57⁺ 细胞比例更高,显示免疫衰老更明显。
当然除了“提前衰老”,随着年龄增长,人体免疫系统会逐渐 “衰老”—— 免疫细胞数量减少、功能下降,导致老年人更易感染疾病、癌症风险升高,这一过程也就是文章开篇提到的 “免疫衰老”。
免疫系统是人体抵抗各种致病原的重要屏障,在我们的一生中是不可或缺的重要角色。我们的免疫力通常在35岁之后开始逐渐下降,免疫细胞的数量和活性也随之减少。研究数据显示,人体免疫系统的免疫力在20岁左右达到高峰,到了40岁时,就只剩20岁的一半,免疫器官伴随人体开始衰老,尤其是胸腺等器官严重萎缩,免疫能力随着人体衰老,发生免疫衰老。到了70岁,又只有20岁时的1/10,随着免疫力下降,从而就给了癌细胞可乘之机。

免疫正常化的核心理念在于调整免疫系统,使其达到健康和平衡的状态,不仅仅是健康的生活方式和保持运动,选择在健康的时候将自己的免疫细胞进行存储,是一种有效的保持免疫细胞活性的办法。

图 | 齐鲁细胞库
存储免疫细胞相当于为自己准备一支强大的“免疫后备军队”,等到有需要的时候,我们可以因为这些存储下来的种子细胞,让自己以更饱满的姿态去捍卫健康。您可以选择将健康的免疫细胞种子“保鲜”在5G智能全自动化深低温液氮储存库—齐鲁细胞库。

图 | 齐鲁细胞形象代言人-影视明星王艳
“预留健康细胞,收获美好未来”。
齐鲁细胞愿为您和家人的健康保驾护航!
【注】文章内容旨在科普细胞知识,进行学术交流分享,了解行业前沿发展动态,不构成任何应用建议。

