发布时间:2025-12-19 浏览量:0
前言
INTRODUCTION
随着全球人口老龄化进程的加速,如何健康、有活力地步入老年,已成为全社会关注的焦点。年龄增长往往伴随着一系列生理功能的渐进性衰退,由此引发的骨关节疾病、神经退行性疾病、皮肤老化以及免疫系统功能下降等问题,严重影响生活质量。

在探索健康衰老的诸多前沿方向中,再生医学,尤其是基于间充质干细胞及其外泌体的研究与应用,正展现出巨大的潜力,为干预一系列年龄相关性疾患提供了新的科学视角与潜在策略。
免疫衰老涉及免疫系统随着年龄的增长而发生的重塑,导致65岁以上的个体感染、癌症发病率更高、疾病死亡率增加,并且疫苗效力降低,是一种不可避免的现象。目前,尚无有效的措施去针对免疫衰老。

大量的体内和体外研究证明,间充质干细胞具有低免疫原性、优异的免疫调节功能、归巢能力,以及通过多能分化和旁分泌来再生受损组织。
在一项非随机、剂量递增的临床研究中,衰弱患者单次接受间充质干细胞后表现为安全且免疫耐受,步态功能和免疫状态得到显著改善。
一项关于干细胞应对面部老化相关的临床研究,共纳入8名受试者,从受试者自身腹部皮下脂肪组织提取并培养得到自体脂肪来源干细胞,应用到老化皮肤区域。对受试者在干细胞注射前、1、6和12个月拍摄的照片进行了比较评估,以观察皮肤表现。此外,为了评估干细胞注射对肌肉细胞活动的影响,进行了体外研究,以展示干细胞外泌体对肌母细胞激活的影响。结果可分为以下几个方面进行展示:
皱纹和面部下垂方面
与参加研究前相比,参加研究后3 ~ 8个月,前额、眉间和面部皮肤其他部位的皱纹量表评分降低。所有8例受试者的鼻唇沟深度均有所减少,脸颊下垂得到改善,下眼睑的细纹减少。
上眼睑功能方面
5例女性受试者在接受干细胞后1个月就诊,上眼睑变化较参与研究前明显。此外,这五名受试者中有两名在ADSC应用研究后几天到一周来诊所时,双眼皮表现得更清晰。
缩小面部毛孔方面
在这8例受试者中,所有案例均观察到轻微到显著的毛孔减少,其中两例显著减少。并且以上效果均持续超过1年以上。
激活肌肉运动方面
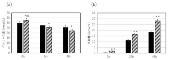
通过体外研究展示了干细胞外泌体对肌母细胞激活的影响。共培养后发现干细胞外泌体应用研究后24小时乳酸水平显著上升,葡萄糖水平下降,这表明干细胞皮内注射显著激活肌肉运动,这也解释了上述干细胞皮内注射明显恢复上眼睑功能及缩小面部毛孔的可能机制。

骨关节疾病方向
一项I/II 期随机对照临床试验旨在评估单次或重复脐带间充质干细胞(UC-MSCs)膝关节腔内注射治疗膝关节骨关节炎 (OA) 的安全性和有效性。
结果显示:与对照组相比,间充质干细胞组安全有效,且均有显著的疼痛和功能改善。用于评估受试者关节炎的严重程度及效果的WOMAC 量表的疼痛分量表表明,随访1年时干细胞组的疼痛水平较对照组显著降低。此外,用于受试者疼痛程度评估的主观量表视觉模拟量表(VAS)表明,随访1年时干细胞组的VAS量表得分显着低于对照。

神经退行性疾病方向
《自然·医学》杂志刊登了一项双盲随机对照2a期临床试验的结果,这项临床纳入了49例轻度阿尔茨海默病(AD)患者,在使用间充质干细胞治疗后,干细胞组与安慰剂组在研究中安全性相似;与安慰剂组相比,干细胞组的疾病进展和脑萎缩减缓,神经炎症减少,并表现出认知功能的改善。具体数据如下:
(1)间充质干细胞技术使受试者全脑体积减少的速率减缓了48.4%;
(2)间充质干细胞技术使得受试者海马体的萎缩速度降低了61.9%;
(3) 在整个过程中未出现任何淀粉样蛋白相关影像异常(ARIA)的安全问题。
另外,近年来,鼻滴干细胞外泌体有望成为阿尔兹海默症的新选择。研究表明,通过鼻腔给药的干细胞外泌体可以减少炎症反应,改善认知功能。
近年来干细胞在对抗衰老保持年轻态方面的研究更是吸引了全球的目光。随着相关的技术规范指南、专家共识或期刊文献的发表,人们对干细胞在抗衰老领域有了更深的认识。
根据我国《老年医学与保健》杂志上发布的《中国衰老与抗衰老专家共识(2019年)》,成体干细胞的衰老乃至耗竭是组织器官衰老和老年性疾病的重要诱因。

世界卫生组织对疾病康复、抗衰老的新定义,也表达了对抗衰老的根本在于细胞:“治愈疾病、抗衰老最根本的途径是修复细胞、改善细胞代谢、激活衰老细胞的功能”。
虽然人类利用干细胞在对抗衰老保持年轻态方向仍需要进一步开展更大规模的研究,但是现阶段取得的一些向好的结果,让我们有理由相信以后人类放慢衰老的步伐将会有机会得以实现。随着人口老龄化加重医疗负担,我们也期待着干细胞在对抗衰老及衰老伴随的功能障碍领域将发挥更大的作用。
【注】文章内容旨在科普细胞知识,进行学术交流分享,了解行业前沿发展动态,不构成任何应用建议。

