发布时间:2026-03-11 浏览量:0
前言
INTRODUCTION
随着阿尔茨海默症愈发频繁地进入公众视野,如何让大脑保持“年轻态”,也日益成为人们关注的焦点。近期,一项发表于《JAMA Neurology》的重磅研究引发热议。该研究历时数十年,追踪了超16万人的饮食习惯与认知变化,最终证实:健康的饮食模式,与未来认知衰退风险的降低密切相关。其中,一种原本为控制高血压而设计的饮食方案,在护脑方面表现尤为亮眼,甚至能让大脑比实际年龄更“年轻”。

在过去的研究中,针对脑部健康,有的研究说多吃鱼好,有的说地中海饮食管用,但这些结论往往孤立存在,缺乏一个在同一个大规模人群中,对多种健康饮食模式进行系统性比较的研究。而且,饮食对大脑的影响是长期的,什么时候开始吃、吃多久才有效,这些关键问题也一直没有明确的答案。正是为了填补这些空白,研究人员决定利用他们跟踪数十年的三大队列数据,来一场关于“吃”与“脑”的深度探究。
研究发现,所有六种健康饮食模式都与更低的认知衰退风险相关。其中,得舒饮食(DASH,专门控制高血压的饮食方法)表现最为突出:与饮食习惯最不健康的人相比,最严格遵循得舒饮食的人,主观认知下降的风险降低了41%。

饮食模式评分与整体和特定领域主观认知能力下降之间的关联
其他饮食模式同样效果显著:益于健康的植物性饮食指数和反向高胰岛素血症经验性饮食指数均使风险降低24%,星球健康饮食指数降低20%,替代健康饮食指数降低16%,反向炎症经验性饮食模式降低11%。且多种健康饮食模式对认知的保护作用可以叠加,吃得越健康,大脑获益越大。
在对年长者的客观认知测试中,得舒饮食(DASH,专门控制高血压的饮食方法)再次领先。坚持得舒饮食的人,整体认知测试得分明显更高,相当于大脑比不健康饮食的同龄人年轻约0.76岁;语言流畅度方面年轻0.87岁,工作记忆方面更是年轻1.37岁。
具体食物分析显示,绿叶蔬菜、黄色蔬菜、各类蔬菜及鱼类与更好的认知表现相关,适量饮用葡萄酒也有益。而红肉、加工肉类、油炸薯条、含糖饮料和甜点则与较差的认知表现相关。

平均食物组摄入量与认知结果之间的关联及其与膳食模式评分的相关性
研究还发现,45岁至54岁的中年时期是饮食护脑的“黄金期”。此阶段坚持健康饮食,尤其是得舒饮食,对晚年认知的保护作用最为强大。其影响十分持久,在饮食评估结束26年后仍能观察到积极效果。改善饮食习惯,从中年抓起,效果或许最好。
2024年11月,美国德克萨斯农工大学医学院的研究人员在《细胞外囊泡杂志》上发表文献,来自人类诱导多能干细胞衍生的神经干细胞的细胞外囊泡可减轻阿尔茨海默病中与疾病相关的小胶质细胞内的促炎级联反应。

在早期阿尔茨海默病动物模型中,使用这种外泌体可减少大脑中的炎症和斑块积聚。在阿尔茨海默病中,小胶质细胞被激活以引起炎症,并清除大脑中与阿尔茨海默病相关的斑块。随着时间的推移,这个最初有用的功能会变得有问题——长时间的激活会导致它们失去正常功能并开始伤害神经元,导致渐进性神经元丧失。
这项研究结果表明,摄入干细胞衍生的细胞外囊泡显著改变了小胶质细胞的基因表达,减少了多种有害的促炎蛋白,而不影响小胶质细胞继续清除与阿尔茨海默病相关的蛋白质积聚的能力。作者认为该技术可使阿尔茨海默病的病情发展“延缓”10-15年,从而极大地提高患者的生活质量。
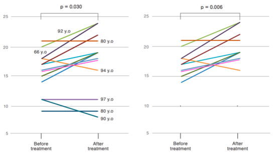
一项日本开展的研究探中,探讨了干细胞外泌体鼻腔给药应对阿尔兹海默症的安全性和临床效果。

该研究结论为:间充质干细胞外泌体经鼻给药8周是安全的,并观察到了Hasegawa痴呆量表-修订版(HDS-R)评分的增加。鼻滴干细胞分泌体是一种安全、简单的使用方法。从对认知功能的改善效果来看,意味着这种方案有可能成为应对阿尔茨海默病认知障碍的新疗法。
研究团队共选取了13名患阿尔兹海默症的受试者,通过鼻腔给予间充质干细胞外泌体,每周3次,研究进行8周后,受试者的HDS-R评分从15.6分提高到17.5分,显示出显著的认知功能改善。特别是在轻度至中度的受试者中,评分从17.2分提高到20.0分,效果更为显著。

此外,血液检查显示,受试者的血小板数量减少,白蛋白/球蛋白比例增加,低密度脂蛋白/高密度脂蛋白比例下降,这些变化可能与外泌体对代谢的调节作用有关。MCI筛查测试还发现,与阿尔兹海默症相关的载脂蛋白A-1(ApoA1)水平显著增加,ApoA1被认为能够抑制β淀粉样蛋白(Aβ)的聚集和毒性,从而改善认知功能。
在安全性方面,整个研究过程中,13名受试者均未出现与研究相关的严重不良反应。鼻腔给药干细胞外泌体显示出良好的安全性,受试者的生活质量得到了显著提升。
文章开篇提到的研究用长达数十年的追踪数据告诉我们:对抗认知衰退,我们每个人手里都握着一项简单而强大的武器——每日的餐盘。
研究清晰地表明,以得舒饮食为代表的健康饮食模式,特别是从45岁左右开始坚持,能显著降低未来记忆力衰退的风险。这种饮食的核心并不复杂:多吃蔬菜、鱼类,限制红肉和含糖饮料,例如早奶蛋、午吃鱼、晚豆腐;主食粗细搭配,蔬菜顿顿都有。当然,作为观察性研究,它证明的是“相关”而非“因果”。但无论如何,它为我们提供了一份基于科学证据的行动指南。

除了饮食,现有的一些临床研究案例,也让我们对于这个疾病的应对看到了新的希望。但是虽然现有的研究案例展现了干细胞及其外泌体在AD应对方向的潜力,但是还需要更大规模、更长时间的临床试验来进一步验证其效果和安全性。此外,科学家们还需要深入研究间充质干细胞及其外泌体应对AD的具体作用机制,以便为其临床应用提供更为坚实的理论基础。
总的来说,间充质干细胞及其外泌体为应对阿尔茨海默病带来了新的希望。我们也期待在经过广泛的实验研究和临床试验来验证干细胞及其外泌体的潜力,在建立一个全面的安全性和有效性数据库后,为更多的阿尔茨海默症患者带来好消息。
【注】文章内容旨在科普细胞知识,进行学术交流分享,了解行业前沿发展动态,不构成任何应用建议。

